题目内容
已知
,
,n∈N*,
(1)当n=1,2,3时,试比较f(n)与g(n)的大小关系;
(2)猜想f(n)与g(n)的大小关系,并给出证明.
(1)当n=1,2,3时,试比较f(n)与g(n)的大小关系;
(2)猜想f(n)与g(n)的大小关系,并给出证明.
解:(1)当n=1时,f(1)=1,g(1)=1,所以f(1)=g(1);
当n=2时,
,
,所以f(2)<g(2);
当n=3时,
,
,所以f(3)<g(3).
(2) 由(1),猜想f(n)≤g(n);
下面用数学归纳法给出证明:
①当n=1,2,3时,不等式显然成立;
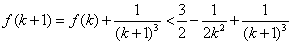
②假设当n=k(k≥3)时不等式成立,即
,
那么,当n=k+1时,
,
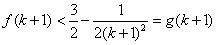
因为
,
所以
;
由①、②可知,对一切n∈N*,都有f(n)≤g(n)成立.
当n=2时,
当n=3时,
(2) 由(1),猜想f(n)≤g(n);
下面用数学归纳法给出证明:
①当n=1,2,3时,不等式显然成立;
②假设当n=k(k≥3)时不等式成立,即
那么,当n=k+1时,
因为
所以
由①、②可知,对一切n∈N*,都有f(n)≤g(n)成立.
练习册系列答案
相关题目