题目内容
函数f(x)是定义在[0,1]上的增函数,满足
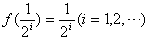
且f(1)=1,在每个区间
(i=1,2……)上,y=f(x)的图象都是平行于x轴的直线的一部分,
Ⅰ)求f(0)及
的值,并归纳出
的表达式;
(Ⅱ)设直线
,x轴及y=f(x)的图象围成的矩形的面积为ai(i=1,2……),求a1,a2及
的值。
Ⅰ)求f(0)及
(Ⅱ)设直线
解:(Ⅰ)由
,得
,
由
,
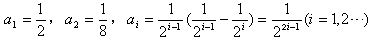
同理,
,
归纳得
;
(Ⅱ)当
,
,
所以{an}是首项为
,公比为
的等比数列,
所以
。
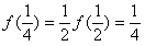
由
同理,
归纳得
(Ⅱ)当
所以{an}是首项为
所以
练习册系列答案
相关题目
已知函数f(x)是定义在R上的奇函数,其最小正周期为3,且x∈(-
,0)时,f(x)=log2(-3x+1),则f(2011)=( )
| 3 |
| 2 |
| A、-2 |
| B、2 |
| C、4 |
| D、log27 |