题目内容
已知双曲线的离心率为2,焦点是(-4,0),(4,0),则双曲线方程为( )A.
B.
C.
D.
【答案】分析:根据焦点坐标求得c,再根据离心率求得a,最后根据b=
求得b,双曲线方程可得.
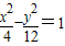
解答:解.已知双曲线的离心率为2,焦点是(-4,0),(4,0),
则c=4,a=2,b2=12,
双曲线方程为
,
故选A.
点评:本题主要考查了双曲线的简单性质.属基础题.
解答:解.已知双曲线的离心率为2,焦点是(-4,0),(4,0),
则c=4,a=2,b2=12,
双曲线方程为
故选A.
点评:本题主要考查了双曲线的简单性质.属基础题.
练习册系列答案
相关题目
已知双曲线的离心率为2,焦点是(-4,0),(4,0),则双曲线方程为( )
A、
| ||||
B、
| ||||
C、
| ||||
D、
|