题目内容
已知△ABC的一个内角为120°,并且三边长构成公差为4的等差数列,则△ABC的面积为______
【答案】分析:因为三角形三边构成公差为4的等差数列,设中间的一条边为x,则最大的边为x+4,最小的边为x-4,根据余弦定理表示出cos120°的式子,将各自设出的值代入即可得到关于x的方程,求出方程的解即可得到三角形的边长,然后利用三角形的面积公式即可求出三角形ABC的面积.
解答:解:设三角形的三边分别为x-4,x,x+4,
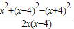
则cos120°=
=-
,
化简得:x-16=4-x,解得x=10,
所以三角形的三边分别为:6,10,14
则△ABC的面积S=
×6×10sin120°=15
.
故答案为:15
.
点评:此题考查学生掌握等差数列的性质,灵活运用余弦定理及三角形的面积公式化简求值,是一道中档题.
解答:解:设三角形的三边分别为x-4,x,x+4,
则cos120°=
化简得:x-16=4-x,解得x=10,
所以三角形的三边分别为:6,10,14
则△ABC的面积S=
故答案为:15
点评:此题考查学生掌握等差数列的性质,灵活运用余弦定理及三角形的面积公式化简求值,是一道中档题.
练习册系列答案
相关题目
已知△ABC的三个顶点A、B、C及平面内一点P满足
+
+
=
,则点P与△ABC的关系为( )
| PA |
| PB |
| PC |
| AB |
| A、P在△ABC内部 |
| B、P在△ABC外部 |
| C、P在AB边所在直线上 |
| D、P是AC边的一个三等分点 |