题目内容
如图,在直三棱柱ABC-A1B1C1中,平面A1BC⊥侧面A1ABB1.(Ⅰ)求证:AB⊥BC;
(Ⅱ)若直线AC与平面A1BC所成的角为θ,二面角A1-BC-A的大小为φ,试判断θ与φ的大小关系,并予以证明.
【答案】分析:本小题主要考查直棱柱、直线与平面所成角、二面角和线面关系等有关知识,同时考查空间想象能力和推理能力.
(1)若要证明AB⊥BC,可以先证明AB⊥平面BC1,由线面垂直的性质得到线线垂直.
(2)要判断直线AC与平面A1BC所成的角为θ,二面角A1-BC-A的大小为φ的大小关系,可以先做出二面角的平面角,再根据三角函数的单调性进行解答.也可以根据(1)的结论,以以点B为坐标原点,以BC、BA、BB1所在的直线分别为x轴、y轴、z轴,建立如图所示的空间直角坐标系利用空间向量,求出两个角的正弦值,再根据三角函数的单调性解答.
解答:
解:(Ⅰ)证明:如图,过点A在平面A1ABB1内作AD⊥A1B于D,
由平面A1BC⊥侧面A1ABB1,且平面A1BC∩侧面A1ABB1=A1B,得
AD⊥平面A1BC,又BC?平面A1BC,
所以AD⊥BC.
因为三棱柱ABC-A1B1C1是直三棱柱,
则AA1⊥底面ABC,
所以AA1⊥BC.
又AA1∩AD=A,从而BC⊥侧面A1ABB1,
又AB?侧面A1ABB1,故AB⊥BC.
(Ⅱ)解法1:连接CD,则由(Ⅰ)知∠ACD是直线AC与平面A1BC所成的角,∠ABA1是二面角A1-BC-A的平面角,即∠ACD=θ,∠ABA1=φ,
于是在Rt△ADC中,
,在Rt△ADB中,
,
由AB<AC,得sinθ<sinφ,又
,所以θ<φ,
解法2:由(Ⅰ)知,以点B为坐标原点,以BC、BA、BB1所在的直线分
别为x轴、y轴、z轴,建立如图所示的空间直角坐标系,
设AA1=a,AC=b,
AB=c,则B(0,0,0),A(0,c,0),
,
于是
,
.
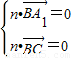
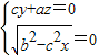
设平面A1BC的一个法向量为n=(x,y,z),
则由
.得
.
可取n=(0,-a,c),于是
与n的夹角β为锐角,则β与θ互为余角.
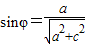
,
,
所以
,
于是由c<b,得
,
即sinθ<sinφ,又
,所以θ<φ,
点评:线线垂直可由线面垂直的性质推得,直线和平面垂直,这条直线就垂直于平面内所有直线,这是寻找线线垂直的重要依据.垂直问题的证明,其一般规律是“由已知想性质,由求证想判定”,也就是说,根据已知条件去思考有关的性质定理;根据要求证的结论去思考有关的判定定理,往往需要将分析与综合的思路结合起来.
本题也可以用空间向量来解决,其步骤是:建立空间直角坐标系⇒明确相关点的坐标⇒明确相关向量的坐标⇒通过空间向量的坐标运算求解.
(1)若要证明AB⊥BC,可以先证明AB⊥平面BC1,由线面垂直的性质得到线线垂直.
(2)要判断直线AC与平面A1BC所成的角为θ,二面角A1-BC-A的大小为φ的大小关系,可以先做出二面角的平面角,再根据三角函数的单调性进行解答.也可以根据(1)的结论,以以点B为坐标原点,以BC、BA、BB1所在的直线分别为x轴、y轴、z轴,建立如图所示的空间直角坐标系利用空间向量,求出两个角的正弦值,再根据三角函数的单调性解答.
解答:
由平面A1BC⊥侧面A1ABB1,且平面A1BC∩侧面A1ABB1=A1B,得
AD⊥平面A1BC,又BC?平面A1BC,
所以AD⊥BC.
因为三棱柱ABC-A1B1C1是直三棱柱,
则AA1⊥底面ABC,
所以AA1⊥BC.
又AA1∩AD=A,从而BC⊥侧面A1ABB1,
又AB?侧面A1ABB1,故AB⊥BC.
(Ⅱ)解法1:连接CD,则由(Ⅰ)知∠ACD是直线AC与平面A1BC所成的角,∠ABA1是二面角A1-BC-A的平面角,即∠ACD=θ,∠ABA1=φ,
于是在Rt△ADC中,
由AB<AC,得sinθ<sinφ,又
别为x轴、y轴、z轴,建立如图所示的空间直角坐标系,
设AA1=a,AC=b,
AB=c,则B(0,0,0),A(0,c,0),
于是
设平面A1BC的一个法向量为n=(x,y,z),
则由
可取n=(0,-a,c),于是
所以
于是由c<b,得
即sinθ<sinφ,又
点评:线线垂直可由线面垂直的性质推得,直线和平面垂直,这条直线就垂直于平面内所有直线,这是寻找线线垂直的重要依据.垂直问题的证明,其一般规律是“由已知想性质,由求证想判定”,也就是说,根据已知条件去思考有关的性质定理;根据要求证的结论去思考有关的判定定理,往往需要将分析与综合的思路结合起来.
本题也可以用空间向量来解决,其步骤是:建立空间直角坐标系⇒明确相关点的坐标⇒明确相关向量的坐标⇒通过空间向量的坐标运算求解.
练习册系列答案
相关题目