题目内容
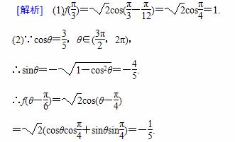
已知函数f(x)=
cos(x-
),x∈R.
(1)求f(
)的值;
(2)若cosθ=
,θ∈(
,2π),求f(θ-
).
练习册系列答案
相关题目
某农户计划种植黄瓜和韭菜,种植面积不超过50亩,投入资金不超过54万元,假设种植黄瓜和韭菜的产量、成本和售价如下表
|
| 年产量/亩 | 年种植成本/亩 | 每吨售价 |
| 黄瓜 | 4t | 1.2万元 | 0.55万元 |
| 韭菜 | 6t | 0.9万元 | 0.3万元 |
为使一年的种植总利润(总利润=总销售收入-总种植成本)最大,那么黄瓜和韭菜的种植面积(单位:亩)分别为( )
A.50,0 B.30,20
C.20,30 D.0,50