题目内容
已知抛物线C:y2=2px(p>0)过点A(1,-2).(1)求抛物线C的标准方程,并求其准线方程;
(2)是否存在平行于OA(O为坐标原点)的直线l,使得直线OA与l的距离等于
(3)过抛物线C的焦点F作两条斜率存在且互相垂直的直线l1,l2,设l1与抛物线C相交于点M,N,l2与抛物线C相交于点D,E,求
【答案】分析:(1)把点(1,-2)代入抛物线方程即可得出;
(2)假设存在符合题意的直线l,其方程为y=-2x+t,与抛物线方程联立,由于直线l与抛物线C有公共点,可得△=4+8t≥0,解得t的取值范围.利用点到直线的距离可得:直线OA与l的距离
,可得
,解得t.
(3)由题意可知:设M(x1,y1),N(x2,y2),设直线l1的斜率为k≠0,则l1的方程为y=k(x-1),与抛物线方程联立可得根与系数的关系;由于l1⊥l2,可得直线l2的斜率为
,方程为
,设D(x3,y3),B(x4,y4).与抛物线方程可得根与系数的关系.再利用向量的数量积运算和基本不等式即可得出.
解答:解:(1)将(1,-2)代入y2=2px,得(-2)2=2p×1,解得p=2.
故所求抛物线C的方程为y2=4x,其准线方程为x=-1.
(2)假设存在符合题意的直线l,其方程为y=-2x+t,
由
得y2+2y-2t=0.
∵直线l与抛物线C有公共点,
∴△=4+8t≥0,解得
,
由直线OA与l的距离
,可得
,解得t=±1.
∵-1
,1
,
∴符合题意的直线l存在,其方程为2x+y-1=0.
(3)由题意可知:设M(x1,y1),N(x2,y2),
设直线l1的斜率为k≠0,则l1的方程为y=k(x-1),联立
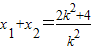
,得k2x2-(2k2+4)x+k2=0,
∴
,x1x2=1.
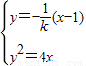
∵l1⊥l2,∴直线l2的斜率为
,方程为
,设D(x3,y3),B(x4,y4).
联立
,化为x2-(2+4k2)x+1=0,
∴
,x3x4=1.
∴
=

=
+
=
+
=(x1+1)(x2+1)+(x3+1)(x4+1)
=x1x2+x1+x2+x3x4+x3+x4+2
=
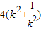
+1+2+4k2+2
=8+
=16,当且仅当k=±1时取等号.
∴当k=±1时,
的最小值为16.
点评:熟练掌握直线与抛物线的相交问题转化为与抛物线方程联立得到一元二次方程、根与系数的关系、弦长公式数量积计算公式等是解题的关键.
(2)假设存在符合题意的直线l,其方程为y=-2x+t,与抛物线方程联立,由于直线l与抛物线C有公共点,可得△=4+8t≥0,解得t的取值范围.利用点到直线的距离可得:直线OA与l的距离
(3)由题意可知:设M(x1,y1),N(x2,y2),设直线l1的斜率为k≠0,则l1的方程为y=k(x-1),与抛物线方程联立可得根与系数的关系;由于l1⊥l2,可得直线l2的斜率为
解答:解:(1)将(1,-2)代入y2=2px,得(-2)2=2p×1,解得p=2.
故所求抛物线C的方程为y2=4x,其准线方程为x=-1.
(2)假设存在符合题意的直线l,其方程为y=-2x+t,
由
∵直线l与抛物线C有公共点,
∴△=4+8t≥0,解得
由直线OA与l的距离
∵-1
∴符合题意的直线l存在,其方程为2x+y-1=0.
(3)由题意可知:设M(x1,y1),N(x2,y2),
设直线l1的斜率为k≠0,则l1的方程为y=k(x-1),联立
∴
∵l1⊥l2,∴直线l2的斜率为
联立
∴
∴
=
=
=(x1+1)(x2+1)+(x3+1)(x4+1)
=x1x2+x1+x2+x3x4+x3+x4+2
=
=8+
∴当k=±1时,
点评:熟练掌握直线与抛物线的相交问题转化为与抛物线方程联立得到一元二次方程、根与系数的关系、弦长公式数量积计算公式等是解题的关键.
练习册系列答案
相关题目