题目内容
定义:若数列{An}满足(1)证明:数列{2an+1}是“平方递推数列”,且数列{lg(2an+1)}为等比数列.
(2)设(1)中“平方递推数列”的前n项之积为Tn,即Tn=(2a1+1)(2a2+1)…(2an+1),求数列{an}的通项及Tn关于n的表达式.
(3)记
【答案】分析:(1)根据点(an,an+1)在函数f(x)=2x2+2x的图象上,可得数列递推式,再进行变形,利用定义即可得到结论;
(2)先确定
,再利用对数运算,即可求得Tn关于n的表达式;
(3)因为
,所以Sn=
,再根据Sn>2011,即可求得n的最小值.
解答:(1)证明:由条件得:
,
∴
,
∴{2an+1}是“平方递推数列”. …(4分)
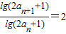
由lg(2an+1+1)=2lg(2an+1),
∴
,
∴{lg(2an+1)}为等比数列. …(6分)
(2)解:∵lg(2a1+1)=lg5,∴
,
∴
∴
. …(8分)
∵
,
∴
. …(10分)
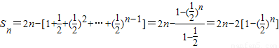
(3)解:
,…(12分)
∴
=
. …(14分)
由Sn>2011,得
,
当n≤1006时,
,当n≥1007时,
,
因此n的最小值为1007. …(16分)
点评:本题考查数列的应用,考查新定义,考查数列的通项与求和,解题的关键是理解新定义,确定数列的通项.
(2)先确定
(3)因为
解答:(1)证明:由条件得:
∴
∴{2an+1}是“平方递推数列”. …(4分)
由lg(2an+1+1)=2lg(2an+1),
∴
∴{lg(2an+1)}为等比数列. …(6分)
(2)解:∵lg(2a1+1)=lg5,∴
∴
∴
∵
∴
(3)解:
∴
=
由Sn>2011,得
当n≤1006时,
因此n的最小值为1007. …(16分)
点评:本题考查数列的应用,考查新定义,考查数列的通项与求和,解题的关键是理解新定义,确定数列的通项.
练习册系列答案
相关题目