题目内容
两个等差数列{an}和{bn},其前n项和分别为Sn,Tn,且A.
B.
C.
D.
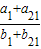
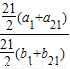
【答案】分析:由已知,根据等差数列的性质,把
转化为
求解.
解答:解:因为:
=
=
=
=
=
.
故选:D.
点评:本题主要考查等差数列的性质、等差数列的前n项和公式以及等差中项的综合应用,以及计算能力.
解答:解:因为:
=
=
故选:D.
点评:本题主要考查等差数列的性质、等差数列的前n项和公式以及等差中项的综合应用,以及计算能力.
练习册系列答案
相关题目