题目内容

已知函数

(1)若的值;

(2)求函数最小正周期及单调递减区间.

 

【答案】

(1);(2)=,单调递减区间为.

【解析】

试题分析:(1)通过应用诱导公式及“1”的代换技巧,将原式化为,分子分母同除以,将其用已知表示出来.本题较为典型.

(2)应用诱导公式及“和差倍半公式”,将原式化为=,不难确定最小正周期即单调区间.

试题解析:

               2分

=                4分

=                6分

(2)

=                8分

的最小正周期为=                10分

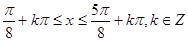
,解得

                12分

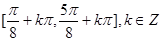
所以的单调递减区间为       13分

考点:三角函数的诱导公式、和差倍半公式,三角函数的图象和性质.

 

练习册系列答案
相关题目

违法和不良信息举报电话:027-86699610 举报邮箱:58377363@163.com

精英家教网