搜索
题目内容
如图,一圆锥的底面半径为R,高为
R,求此圆锥的内接正四棱柱表面积的最大值.
试题答案
相关练习册答案
解:设正四棱柱高为h,底面正方形边长为a,则DE=
,
,
∴
,
,
∴
,
∴
,
整理得,
,
,
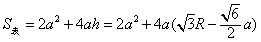
∴当
时,S
表
有最大值
,
即圆锥的内接正四棱柱表面积最大值为
,即
。
练习册系列答案
金版课堂系列答案
53天天练系列答案
新黄冈兵法同步考试兵法系列答案
夺冠百分百初中优化测试卷系列答案
新课程问题解决导学方案系列答案
新课程实践与探究丛书系列答案
一课一练创新练习系列答案
北大绿卡课课大考卷系列答案
课时练人民教育出版社系列答案
学海风暴系列答案
相关题目
圆锥底面半径为1,高为2
2
,轴截面为PAB,如图,从A点拉一绳子绕圆锥侧面一周回到A点,求最短绳长和圆锥的侧面积.
已知如图所示圆锥的母线长为6,底面半径为1,现有一只蚂蚁从底面圆的A点出发,绕圆锥侧面一圈后回到点A,则这只蚂蚁爬过的最短距离为
6
6
.
已知一种圆锥型金属铸件的高为h,底面半径为a,现要将它切割为圆柱体模型(如图所示),并要求圆柱的体积最大,求圆柱的最大体积及此时圆柱的底面半径和高.
一等边圆锥(轴截面为正三角形如图)内接于一球,若圆锥底面半径为r,求该球的体积和表面积.
关 闭
试题分类
高中
数学
英语
物理
化学
生物
地理
初中
数学
英语
物理
化学
生物
地理
小学
数学
英语
其他
阅读理解答案
已回答习题
未回答习题
题目汇总
试卷汇总
练习册解析答案