题目内容
若双曲线A.2(m2+a2)
B.2(m+a)
C.4(a+b)
D.4(m-n)
【答案】分析:先根据双曲线
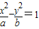
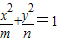
(a>0,b>0)和椭圆
(m>n>0)有共同的焦点F1,F2,根据点P为椭圆和双曲线的一个交点结合定义求出|PF1|与|PF2|的表达式,代入即可求出|PF1|2+|PF2|2的值.
解答:解:因为双曲线
(a>0,b>0)和椭圆
(m>n>0)有共同的焦点F1,F2,
设P在双曲线的右支上,左、右焦点F1、F2:
利用椭圆以及双曲线的定义可得:|PF1|+|PF2|=2
①
|PF1|-|PF2|=2
②
由①②得:|PF1|=
+
,|PF2|=
-
.
∴|PF1|2+|PF2|2=2(m+a).
故选B.
点评:本题主要考查圆锥曲线的综合问题.解决本题的关键在于根据双曲线和椭圆的定义得到|PF1|与|PF2|的表达式,属中档题.
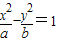
解答:解:因为双曲线
设P在双曲线的右支上,左、右焦点F1、F2:
利用椭圆以及双曲线的定义可得:|PF1|+|PF2|=2
|PF1|-|PF2|=2
由①②得:|PF1|=
∴|PF1|2+|PF2|2=2(m+a).
故选B.
点评:本题主要考查圆锥曲线的综合问题.解决本题的关键在于根据双曲线和椭圆的定义得到|PF1|与|PF2|的表达式,属中档题.
练习册系列答案
相关题目