题目内容
解方程
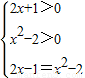
【答案】分析:由对数函数的定义域和性质知方程的解要满足
,由此能求出其结果.
解答:解:由题设条件知
解得:x=3
故方程log5(2x+1)=log5(x2-2)的解集是{3}
点评:本题考查对数方程的解法,解题时要认真审题,仔细解答,注意对数函数的定义域和性质的灵活运用.
解答:解:由题设条件知
解得:x=3
故方程log5(2x+1)=log5(x2-2)的解集是{3}
点评:本题考查对数方程的解法,解题时要认真审题,仔细解答,注意对数函数的定义域和性质的灵活运用.
练习册系列答案
相关题目