题目内容
a2,a5是方程x2-12x+27=0的两根,数列{an}是公差为正的等差数列,数列{bn}的前n项和为Tn,且
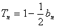
Tn=1-
bn(n∈N*)。
(Ⅰ)求数列{an},{bn}的通项公式;
(Ⅱ)记cn=anbn,求数列{cn}的前n项和Sn。
Tn=1-
(Ⅰ)求数列{an},{bn}的通项公式;
(Ⅱ)记cn=anbn,求数列{cn}的前n项和Sn。
解:(Ⅰ)由
且d>0,得
,
∴
,
,
∴
,
在
中,令n=1,得
,
当n≥2时,
,
,
两式相减,得
,
∴
,
∴
。
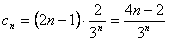
(Ⅱ)
,
∴
,
,
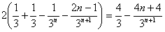
∴
=2
=
,
∴
。
∴
∴
在
当n≥2时,
两式相减,得
∴
∴
(Ⅱ)
∴
∴
=2
∴
练习册系列答案
相关题目