题目内容
已知两直线
,
,当
时,有
∥
.
【答案】
1.
【解析】
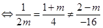
试题分析:根据两条直线平行的充要条件知,
时,两直线不平行,
时,两直线平行
,解得
.
考点:两直线平行的充要条件.
练习册系列答案
相关题目
题目内容
已知两直线
,
,当
时,有
∥
.
1.
【解析】
试题分析:根据两条直线平行的充要条件知,
时,两直线不平行,
时,两直线平行
,解得
.
考点:两直线平行的充要条件.