题目内容
双曲线
的焦点到渐近线的距离等于
.
【答案】
3
【解析】
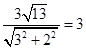
试题分析:本题直接求,一个焦点为
,渐近线为
,焦点到渐近线的距离为
.
考点:双曲线的性质,点到直线的距离公式.
练习册系列答案
相关题目
已知双曲线的焦点到渐近线的距离等于右焦点到右顶点的距离的2倍,则双曲线的离心率e的值为( )
A、
| ||
B、
| ||
C、
| ||
| D、2 |