题目内容
已知直线m经过点P(-3,(1)求此弦所在的直线方程;
(2)求过点P的最短弦和最长弦所在直线的方程.
【答案】分析:(1)求出圆心到直线m的距离,设出m的方程,通过圆心到直线的距离求出直线的斜率,求此弦所在的直线方程,斜率不存在时判断是否满足题意即可;
(2)过点P的最短弦就是圆心与P连线垂直的直线,最长弦就是直线经过圆心所在直线的方程.
解答:(12 分)
解:(1)由题意易知:圆心O到直线m到的距离为3.
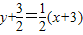
设m所在的直线方程为:
,即2kx-2y+6k-3=0.
由题意易知:圆心O到直线m到的距离为3,
即
.解得k=
此时直线m为:3x+4y+15=0,
而直线x=-3显然也符合题意.
故直线m为:3x+4y+15=0或x=-3.
(2)过点P的最短弦就是圆心与P连线垂直的直线,k=-
=-2,
所以,过点P的最短弦所在直线的方程为:
,
即:4x+2y+15=0;
最长弦就是直线经过圆心所在直线,k=
=
.
所以,过点P的最长弦所在直线的方程为:
.
即:x-2y=0.
点评:本题考查直线与圆的位置关系,直线与圆的方程的综合应用,考查转化思想、计算能力.
(2)过点P的最短弦就是圆心与P连线垂直的直线,最长弦就是直线经过圆心所在直线的方程.
解答:(12 分)
解:(1)由题意易知:圆心O到直线m到的距离为3.
设m所在的直线方程为:
由题意易知:圆心O到直线m到的距离为3,
即
此时直线m为:3x+4y+15=0,
而直线x=-3显然也符合题意.
故直线m为:3x+4y+15=0或x=-3.
(2)过点P的最短弦就是圆心与P连线垂直的直线,k=-
所以,过点P的最短弦所在直线的方程为:
即:4x+2y+15=0;
最长弦就是直线经过圆心所在直线,k=
所以,过点P的最长弦所在直线的方程为:
即:x-2y=0.
点评:本题考查直线与圆的位置关系,直线与圆的方程的综合应用,考查转化思想、计算能力.
练习册系列答案
相关题目