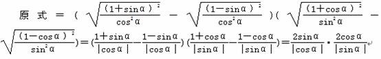
题目内容
化简:
解:
=
已知函数f(x)=sincos+cos2-.
(1) 若f(α)=,α∈(0,π),求α的值;
(2) 求函数f(x)在上最大值和最小值.
已知cos+sinα=,则sin的值为________.
已知ω>0,函数f(x)=sin在上单调递减,则ω的取值范围是________.
sin2(π+α)-cos(π+α)·cos(-α)+1=________.
已知{an}为等差数列,若a1+a5+a9=π,则cos(a2+a8)=________.
若角θ同时满足sinθ<0且tanθ<0,则角θ的终边一定落在第________象限.
已知角α的终边经过点P(x,-2),且cos α=,求sin α和tan α.
设A1、A2与B分别是椭圆E:=1(a>b>0)的左、右顶点与上顶点,直线A2B与圆C:x2+y2=1相切.
(1) 求证:+=1;
(2) P是椭圆E上异于A1、A2的一点,若直线PA1、PA2的斜率之积为-,求椭圆E的方程;
(3) 直线l与椭圆E交于M、N两点,且=0,试判断直线l与圆C的位置关系,并说明理由.