题目内容
已知O(0,0),B(2,0),C(1,
)是△OBC的三个顶点,求:
(1)△OBC的面积;
(2)△OBC的外接圆的方程。
(1)△OBC的面积;
(2)△OBC的外接圆的方程。
解:(1)易知△OBC是等腰三角形,OB=2,OB边上的高为
,
∴S△OBC=
|OB|·
=
。
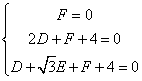
(2)设过O、B、C三点的圆的方程为x2+y2+Dx+Ey+F=0,
则
,
解得:E=
,D=-2,F=0,
∴△OBC的外接圆方程为x2+y2-2x
y=0。
∴S△OBC=
(2)设过O、B、C三点的圆的方程为x2+y2+Dx+Ey+F=0,
则
解得:E=
∴△OBC的外接圆方程为x2+y2-2x
练习册系列答案
相关题目