题目内容
已知函数f(x)的定义域为[0,1],且同时满足①f(1)=3;②f(x)≥2恒成立,③若x1≥0,x2≥0,x1+x2≤1,则有f(x1+x2)≥f(x1)+f(x2)-2.(1)试求函数f(x)的最大值和最小值;
(2)试比较f(
【答案】分析:(1)(Ⅰ)对于抽象函数的最值问题,可考虑此函数的单调性;
(Ⅱ)由题中条件:f(x1+x2)≥f(x1)+f(x2)-2,令
,得
,利用它进行放缩,可证得答案.
解答:解:(1)设0≤x1<x2≤1,则必存在实数t∈(0,1),使得x2=x1+t,
由条件③得,f(x2)=f(x1+t)≥f(x1)+f(t)-2,
∴f(x2)-f(x1)≥f(t)-2,
由条件②得,f(x2)-f(x1)≥0,
故当0≤x≤1时,有f(0)≤f(x)≤f(1).
又在条件③中,令x1=0,x2=1,得f(1)≥f(1)+f(0)-2,
即f(0)≤2,∴f(0)=2,
故函数f(x)的最大值为3,最小值为2.
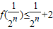
(2)在条件③中,令
,得
,
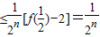
即
,
故当n∈N*时,有
…
,
即
.
又
,
所以对一切n∈N,都有
.
点评:本题考查了抽象函数的性质,抽象函数是相对于给出具体解析式的函数来说的,它虽然没有具体的表达式,但是有一定的对应法则,满足一定的性质,这种对应法则及函数的相应的性质是解决问题的关键.抽象函数的抽象性赋予它丰富的内涵和多变的思维价值,可以考查类比猜测,合情推理的探究能力和创新精神.
(Ⅱ)由题中条件:f(x1+x2)≥f(x1)+f(x2)-2,令
解答:解:(1)设0≤x1<x2≤1,则必存在实数t∈(0,1),使得x2=x1+t,
由条件③得,f(x2)=f(x1+t)≥f(x1)+f(t)-2,
∴f(x2)-f(x1)≥f(t)-2,
由条件②得,f(x2)-f(x1)≥0,
故当0≤x≤1时,有f(0)≤f(x)≤f(1).
又在条件③中,令x1=0,x2=1,得f(1)≥f(1)+f(0)-2,
即f(0)≤2,∴f(0)=2,
故函数f(x)的最大值为3,最小值为2.
(2)在条件③中,令
即
故当n∈N*时,有
即
又
所以对一切n∈N,都有
点评:本题考查了抽象函数的性质,抽象函数是相对于给出具体解析式的函数来说的,它虽然没有具体的表达式,但是有一定的对应法则,满足一定的性质,这种对应法则及函数的相应的性质是解决问题的关键.抽象函数的抽象性赋予它丰富的内涵和多变的思维价值,可以考查类比猜测,合情推理的探究能力和创新精神.
练习册系列答案
相关题目