题目内容
试讨论函数f(x)=loga
【答案】分析:将函数f(x)看作是由y=logau和u=
两个函数复合而来,先证用单调性定义证明u=
的单调性,再用复合函数单调性的结论(同增异减)得到结论.
解答:解:设u=
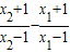
,任取x2>x1>1,则
u2-u1=
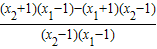
=
=
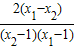
.
∵x1>1,x2>1,∴x1-1>0,x2-1>0.
又∵x1<x2,∴x1-x2<0.
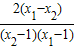
∴
<0,即u2<u1.
当a>1时,y=logax是增函数,∴logau2<logau1,
即f(x2)<f(x1);
当0<a<1时,y=logax是减函数,∴logau2>logau1,
即f(x2)>f(x1).
综上可知,当a>1时,f(x)=loga
在(1,+∞)上为减函数;
当0<a<1时,f(x)=loga
在(1,+∞)上为增函数.
点评:本题主要考查复合函数的单调性,要注意定义域.
解答:解:设u=
u2-u1=
=
=
∵x1>1,x2>1,∴x1-1>0,x2-1>0.
又∵x1<x2,∴x1-x2<0.
∴
当a>1时,y=logax是增函数,∴logau2<logau1,
即f(x2)<f(x1);
当0<a<1时,y=logax是减函数,∴logau2>logau1,
即f(x2)>f(x1).
综上可知,当a>1时,f(x)=loga
当0<a<1时,f(x)=loga
点评:本题主要考查复合函数的单调性,要注意定义域.
练习册系列答案
相关题目