题目内容


已知⊙Ox2y2=6,P为⊙O上动点,过PPMx轴于MNPM上一点,且.

(1)求点N的轨迹C的方程;

(2)若A(2,1),B(3,0),过B的直线与曲线C相交于DE两点,则kADkAE是否为定值?若是,求出该值;若不是,说明理由.


由于点P在⊙Ox2y2=6上,则有x2+(y)2=6,即=1.∴点N的轨迹C的方程为=1.

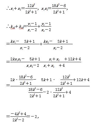
(2)设D(x1y1),E(x2y2),过点B的直线DE的方程为yk(x-3),

消去y,得(2k2+1)x2-12k2x+18k2-6=0,其中Δ>0,

kADkAE是定值-2.

练习册系列答案
相关题目

违法和不良信息举报电话:027-86699610 举报邮箱:58377363@163.com

精英家教网