题目内容
已知x,y∈R,i为虚数单位,且(x-2)i-y=1,则(1+i)x-y的值为( )A.4
B.-4
C.-2i
D.-2+2i
【答案】分析:根据复数相等的充要条件可得x,y,代入目标式可得答案.
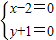
解答:解:(x-2)i-y=1,即(x-2)i=y+1,
所以
,解得x=2,y=-1,
所以(1+i)x-y=(1+i)2+1=(1+i)3=-2+2i,
故选D.
点评:本题考查复数相等的充要条件、复数代数形式的乘除运算,属基础题.
解答:解:(x-2)i-y=1,即(x-2)i=y+1,
所以
所以(1+i)x-y=(1+i)2+1=(1+i)3=-2+2i,
故选D.
点评:本题考查复数相等的充要条件、复数代数形式的乘除运算,属基础题.
练习册系列答案
相关题目
已知x,y∈R,i为虚数单位,且(x-2)i-y=1+i,则(1+i)x-y的值为( )
| A、4 | B、-4 | C、-2i | D、2i |