题目内容


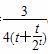
学习曲线是1936年美国康乃尔大学T.P.Wright博士在飞机制造过程中,通过对大量有关资料、案例的观察、分析、研究,首次发现并提出来的.已知某类学习任务的学习曲线为:f(t)=·100%(其中f(t)为掌握该任务的程度,t为学习时间),且这类学习任务中的某项任务满足f(2)=60%.

(1)求f(t)的表达式,计算f(0)并说明f(0)的含义;

(2)已知2x>xln2对任意x>0恒成立,现定义为该类学习任务在t时刻的学习效率指数,研究表明,当学习时间t∈(1,2)时,学习效率最佳,当学习效率最佳时,求学习效率指数相应的取值范围.


f(0)表示某项学习任务在开始学习时已掌握的程度为37.5%.

(2)令学习效率指数y

y现研究函数g(t)=t的单调性,

由于g′(t)=1+ (t>0),

又已知2x>xln2对任意x>0恒成立,即2ttln2>0,则g′(t)>0恒成立,

g(t)在(0,+∞)上为增函数,且g(t)为正数.

y (t>0)在(0,+∞)上为减函数,

y∈(),

故所求学习效率指数的取值范围是().


练习册系列答案
相关题目

违法和不良信息举报电话:027-86699610 举报邮箱:58377363@163.com

精英家教网