题目内容

已知椭圆与轴相切,左、右两个焦点分别为,则原点O到其左准线的距离为       .

 

【答案】

【解析】

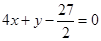
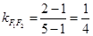
试题分析:这一题已经超过江苏高考数学要求,同学们权当闲聊观赏.由于本题椭圆不是标准方程,我们只能根据椭圆的定义来解题.,所以椭圆短轴所在直线方程为,即,原点到短轴所在直线的距离为.由椭圆(实际上是所有圆锥曲线)的光学性质:从一焦点发出的光线经过椭圆反射后(或反射延长线)通过另一个焦点,本题中切线是轴,设切点为,则,于是,解得,因此,又,所以,因此原点到左准线的距离应该是

考点:椭圆的光学性质,椭圆的定义.

 

练习册系列答案
相关题目

违法和不良信息举报电话:027-86699610 举报邮箱:58377363@163.com

精英家教网