题目内容
两千多年前,古希腊毕达哥拉斯学派的数学家曾经在沙滩上研究数学问题,他们在沙滩上画点或用小石子来表示数,按照点或小石子能排列的形状对数进行分类,如图中的实心点个数1,5,12,22,…,被称为五角形数,其中第1个五角形数记作a1=1,第2个五角形数记作a2=5,第3个五角形数记作a3=12,第4个五角形数记作a4=22,…,若按此规律继续下去,若an=145,则n= .
【答案】分析:根据题目所给出的五角形数的前几项,发现该数列的特点是,从第二项起,每一个数与前一个数的差构成了一个新的等差数列,写出对应的n-1个等式,然后用累加的办法求出该数列的通项公式,然后代入项求项数.
解答:解:a2-a1=5-1=4,a3-a2=12-5=7,a4-a3=22-12=10,…,由此可知数列{an+1-an}构成以4为首项,以3为公差的等差数列.
所以an+1-an=4+3(n-1)=3n+1.
a2-a1=3×1+1
a3-a2=3×2+1
…
an-an-1=3(n-1)+1
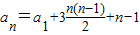
累加得:an-a1=3(1+2+…+(n-1))+n-1
所以
=1+
+n-1=
.
由
,解得:
.
故答案为10.
点评:本题考查了等差数列的通项公式,解答此题的关键是能够由数列的前几项分析出数列的特点,即从第二项起,每一个数与前一个数的差构成了一个新的等差数列,本题训练了一种求数列通项的重要方法--累加法.
解答:解:a2-a1=5-1=4,a3-a2=12-5=7,a4-a3=22-12=10,…,由此可知数列{an+1-an}构成以4为首项,以3为公差的等差数列.
所以an+1-an=4+3(n-1)=3n+1.
a2-a1=3×1+1
a3-a2=3×2+1
…
an-an-1=3(n-1)+1
累加得:an-a1=3(1+2+…+(n-1))+n-1
所以
由
故答案为10.
点评:本题考查了等差数列的通项公式,解答此题的关键是能够由数列的前几项分析出数列的特点,即从第二项起,每一个数与前一个数的差构成了一个新的等差数列,本题训练了一种求数列通项的重要方法--累加法.
练习册系列答案
相关题目