题目内容
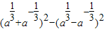
已知a>0,则A.
B.4
C.
D.-4
【答案】分析:利用平方差公式,可将原式化为
•
,进而根据am•a-m=1得到答案.
解答:解:
=
•
=
=4
故选B
点评:本题考查的知识点是有理数指数幂的化简求值,熟练掌握平方差公式,及am•a-m=1是解答的关键.
解答:解:
=
=
故选B
点评:本题考查的知识点是有理数指数幂的化简求值,熟练掌握平方差公式,及am•a-m=1是解答的关键.
练习册系列答案
相关题目
已知a>0,则x0满足关于x的方程ax=b的充要条件是( )
A、?x∈R,
| ||||||
B、?x∈R,
| ||||||
C、?x∈R,
| ||||||
D、?x∈R,
|
已知a<0,则x0为函数f(x)=2ax-b的零点的充要条件是( )
| A、?x∈R,ax2-bx≥ax02-bx0 | B、?x∈R,ax2-bx≤ax02-bx0 | C、?x∈R,ax2-bx≥ax02-bx0 | D、?x∈R,ax2-bx≤ax02-bx0 |