题目内容
已知数列{an} 的前n项和为
,
(1)求数列{an} 的通项公式;
(2)求数列{anx n﹣1}的前n项和(其中x>0).
(1)求数列{an} 的通项公式;
(2)求数列{anx n﹣1}的前n项和(其中x>0).
解:(1)a1=S1=
(1+1)=1,
an=Sn﹣S n﹣1=
(n2+n)﹣
[(n﹣1)2+(n﹣1)]=n.
当n=1时,n=1=a1,
∴an=n.
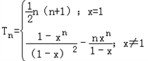
(2)Tn=1+2x+3x2+…nx n﹣1…①
xTn=x+2x2+3x3+…+nxn…②
当x≠1时:①﹣②得

当x=1时,Sn=
n(n+1)
综上
.
an=Sn﹣S n﹣1=
当n=1时,n=1=a1,
∴an=n.
(2)Tn=1+2x+3x2+…nx n﹣1…①
xTn=x+2x2+3x3+…+nxn…②
当x≠1时:①﹣②得
当x=1时,Sn=
综上
练习册系列答案
相关题目