题目内容

如图,等边三角形的边长为,且其三个顶点均在抛物线上.

(1)求抛物线的方程;

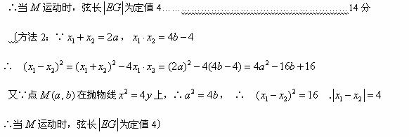
(2)设圆M过,且圆心M在抛物线上,EG是圆M在轴上截得的弦,试探究当M运动时,弦长是否为定值?为什么?

得:  

设圆与轴的两交点分别为

方法1:不妨设,由求根公式得

………9分x k b 1 . c o m

又∵点在抛物线上,∴,………10分

∴ ,即=4---------------------------------13分

练习册系列答案
相关题目

违法和不良信息举报电话:027-86699610 举报邮箱:58377363@163.com

精英家教网