题目内容
工厂生产某种产品,次品率p与日产量x(万件)间的关系为:
![]()
(c为常数, 且0<c<6).已知每生产1件合格产品盈利3元,
每出现1件次品亏损1.5元.
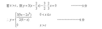
(1)将日盈利额y(万元)表示为日产量x(万件)的函数;
(2)为使日盈利额最大,日产量应为多少万件?(注:次品率=×100%)
![]()
![]()
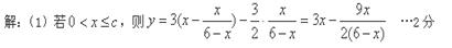
另解: (2)
当![]()
令![]()
若![]()
若
,函数在
为单调减函数,
所以,
取得最大值。
练习册系列答案
相关题目
题目内容
工厂生产某种产品,次品率p与日产量x(万件)间的关系为:
![]()
(c为常数, 且0<c<6).已知每生产1件合格产品盈利3元,
每出现1件次品亏损1.5元.
(1)将日盈利额y(万元)表示为日产量x(万件)的函数;
(2)为使日盈利额最大,日产量应为多少万件?(注:次品率=×100%)
![]()
![]()
另解: (2)
当![]()
令![]()
若![]()
若
,函数在
为单调减函数,
所以,
取得最大值。