题目内容
已知F是椭圆C的一个焦点,B是短轴的一个端点,线段BF的延长线交C于点D,且
【答案】分析:由椭圆的性质求出|BF|的值,利用已知的向量间的关系、三角形相似求出D的横坐标,再由椭圆的第二定义求出|FD|的值,又由|BF|=2|FD|建立关于a、c的方程,解方程求出
的值.
解答:
解:如图,
,
作DD1⊥y轴于点D1,则由
,得
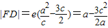
,所以,
,
即
,由椭圆的第二定义得
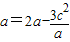
又由|BF|=2|FD|,得
,a2=3c2,解得e=
=
,
故答案为:
.
点评:本小题主要考查椭圆的方程与几何性质、第二定义、平面向量知识,考查了数形结合思想、方程思想,本题凸显解析几何的特点:“数研究形,形助数”,利用几何性质可寻求到简化问题的捷径.
解答:
作DD1⊥y轴于点D1,则由
即
又由|BF|=2|FD|,得
故答案为:
点评:本小题主要考查椭圆的方程与几何性质、第二定义、平面向量知识,考查了数形结合思想、方程思想,本题凸显解析几何的特点:“数研究形,形助数”,利用几何性质可寻求到简化问题的捷径.
练习册系列答案
相关题目