题目内容
等差数列{an}的前n项和为Sn,且S3=6,a3=4,则公差d等于( )A.1
B.
C.2
D.3
【答案】分析:用等差数列的通项公式和前n项和公式,结合已知条件列出关于a1,d的方程组,解方程即可.
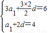
解答:解:设{an}的公差为d,首项为a1,由题意得
,解得
,
故选C.
点评:本题考查了等差数列的通项公式、前n项和公式,熟练应用公式是解题的关键.
解答:解:设{an}的公差为d,首项为a1,由题意得
故选C.
点评:本题考查了等差数列的通项公式、前n项和公式,熟练应用公式是解题的关键.
练习册系列答案
相关题目
设等差数列{an}的前n项和为Sn,则a5+a6>0是S8≥S2的( )
| A、充分而不必要条件 | B、必要而不充分条件 | C、充分必要条件 | D、既不充分也不必要条件 |