题目内容
已知数列
中,
,
。
(1)求
;
(2)求
的通项公式;
(3)证明:对
,
。
(1)求
(2)求
(3)证明:对
解:(1)a2=2,a3=4;
(2)∵
,
∴
,即
,
当n为偶数时,
,
∴
;
当n为奇数时,
,
∴
,
所以
。
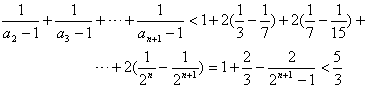
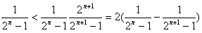
(3)
,
∴
,
∴当n≥2时,

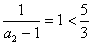
当n=1时,
显然成立。
(2)∵
∴
当n为偶数时,
∴
当n为奇数时,
∴
所以
(3)
∴
∴当n≥2时,
当n=1时,
练习册系列答案
相关题目