题目内容
某学校要从5名男生和2名女生中选出2人作为社区志愿者,若用随机变量
表示选出的志愿者中女生的人数,则随机变量
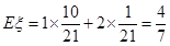
的数学期望
=_____(结果用最简分数表示).
【答案】
![]()
【解析】
试题分析:本题里随机变量
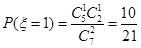
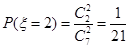
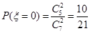
机变只能取0,1,2三个数,分别计算出它们的概率(就不必列表了),
,
,
,因此
.
考点:数学期望.
练习册系列答案
相关题目
若某学校要从5名男生和2名女生中选出3人作为上海世博会的志愿者,则选出的志愿者中男女生均不少于1名的概率是( )
A、
| ||
B、
| ||
C、
| ||
D、
|