题目内容
若一个等差数列前3项的和为34,最后3项的和为146,且所有项的和为390,则这个数列有
项。
解:(1)答案:13
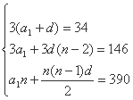
法1:设这个数列有n项
∵
∴![]()
∴n=13
法2:设这个数列有n项
∵
∴
∴![]()
又
∴n=13
练习册系列答案
相关题目
若一个等差数列前3项的和为34,最后3项的和为146,且所有项的和为390,则这个数列有( )
| A、13项 | B、12项 | C、11项 | D、10项 |
若一个等差数列前3项和为3,最后3项和为30,且所有项的和为99,则这个数列有( )
| A、9项 | B、12项 | C、15项 | D、18项 |