题目内容
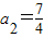
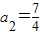
数列{an}满足aA.3
B.2
C.1
D.0
【答案】分析:由a
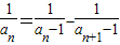
,得
,即
,从而可求得
,通过作差可判断an+1≥an≥a1>1,又
,
,得a2013≥a3>2,
由此即可得到m的范围,从而可得答案.
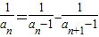
解答:解:∵a
,
∴
,则
,
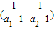
∴
=
+
+
+…+
=
,
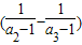
又
=
,
所以an+1≥an≥a1>1,
又
,
,则a2013≥a3>2,
所以m=2-
,故m的整数部分为1,
故选C.
点评:本题考查由数列递推式求数列的和,考查学生分析问题解决问题的能力,对能力要求较高.
由此即可得到m的范围,从而可得答案.
解答:解:∵a
∴
∴
=
又
所以an+1≥an≥a1>1,
又
所以m=2-
故选C.
点评:本题考查由数列递推式求数列的和,考查学生分析问题解决问题的能力,对能力要求较高.
练习册系列答案
相关题目