题目内容
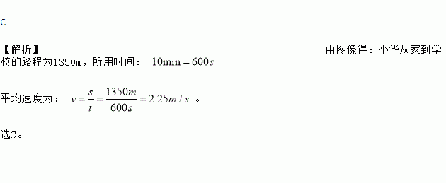
小华同学的家附近有一公共自行车站点,他经常骑公共自行车去上学,某一次从家到学校运动的s-t图像如图所示,则小华从家到学校的平均速度是( )
![]()
A. 135m/s
B. 168.75m/s
C. 2.25m/s
D. 2.81m/s
C 【解析】由图像得:小华从家到学校的路程为1350m,所用时间: 平均速度为: 。 选C。
练习册系列答案
相关题目
题目内容
小华同学的家附近有一公共自行车站点,他经常骑公共自行车去上学,某一次从家到学校运动的s-t图像如图所示,则小华从家到学校的平均速度是( )
![]()
A. 135m/s
B. 168.75m/s
C. 2.25m/s
D. 2.81m/s
C 【解析】由图像得:小华从家到学校的路程为1350m,所用时间: 平均速度为: 。 选C。