题目内容
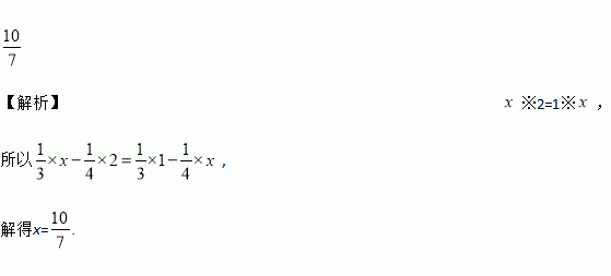
规定一种运算“※”,※,则方程※2=1※的解为________.
不等式组的解集为x<2,则k的取值范围为( )
A. k>1 B. k<1 C. k≥1 D. k≤1
化简并求值: ,其中是方程 的一个根.
如图,在Rt△ABC中,∠C=90°,已知sinA=,则cosB的值为( )
A. B. C. D.
(8分)一项工程,甲单独完成要20天,乙单独完成要25天,现由甲先做2天,然后甲、乙合做余下的部分还要多少天才能完成这项工程.
平方等于16的数有_____.
下列说法:①如果两个数的积为1,则这两个数互为倒数;②如果两个数和为0,则至少有一个数为0;③绝对值是本身的有理数只有1;④倒数是本身的数是﹣1,0,1.⑤零有相反数.其中错误的个数是( )
A. 0个 B. 1个 C. 2个 D. 3个
如图,经过点B(﹣2,0)的直线y=kx+b与直线y=mx相交于点A(﹣1,﹣2),则关于x不等式mx<kx+b<0的解集为______.
随着新农村的建设和旧城的改造,我们的家园越来越美丽,小明家附近广场中央新修了个圆形喷水池,在水池中心竖直安装了一根高为2米的喷水管,它喷出的抛物线形水柱在与水池中心的水平距离为1米处达到最高,水柱落地处离池中心3米.
(1)请你建立适当的平面直角坐标系,并求出水柱抛物线的函数解析式;
(2)求出水柱的最大高度的多少?