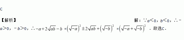
题目内容
当a<0,b<0时,-a+2-b可变形为( )
A. B. - C. D.
如图,从A地到B地共有五条路,人们常常选择第③条,请用几何知识解释原因:_____________________.
如图,△ABC中,∠C=90°,AC=3,点P是边BC上的动点,则AP的长不可能是( )
A. 2.5 B. 3 C. 4 D. 5
如图,过直线l外一点A,作直线l的垂线,可以作__________条.
已知x=,y=,求的值.
x,y分别为8-的整数部分和小数部分,则2xy-y2=____________.
a-的有理化因式是____________.
在平面直角坐标系中,已知一次函数y=2x+1的图象经过P1(x1,y1)、P2(x2,y2)两点,若x1<x2,则y1 ______ y2.(填“>”“<”或“=”)
下列各命题中正确的是( )
①方程x2=-4的根为x1=2,x2=-2
②∵(x-3)2=2,∴x-3=,即x=3±
③∵x2-=0,∴x=±4
④在方程ax2+c=0中,当a>0,c>0时,一定无实根
A. ①② B. ②③ C. ③④ D. ②④