题目内容
在平面直角坐标系中,点关于y轴的对称点是___________ .
–a12=a3(______)9=(-a)5(_______)7=-a4(_______)8
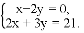
解方程:
(1) (2)
在,, 3.14159,,,0.101001…中,无理数有( )个
A. 2 B. 3 C. 4 D. 5
点A在x轴的下方,y轴的右侧,到x轴的距离是3,到y轴的距离是2,则点A的坐标是
A. B. C. D.
2015年阿里巴巴双11全天交易额突破912.17亿元,请用科学记数学表示912.17亿元=_____元.
解方程组: