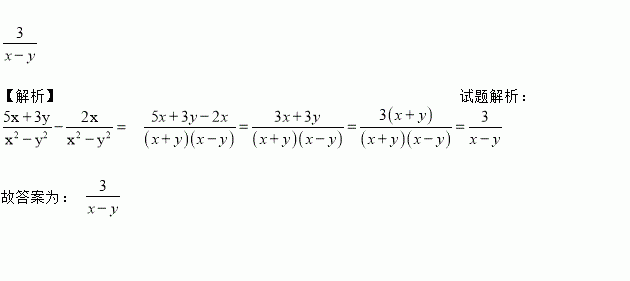
题目内容
计算: _______.
如图,在矩形ABCD中,AD=6,AB=4,点E、G、H、F分别在AB、BC、CD、AD上,且AF=CG=2,BE=DH=1,点P是直线EF、GH之间任意一点,连接PE、PF、PG、PH,则图中阴影面积(△PEF和△PGH的面积和)等于( )
A. 7 B. 8 C. 12 D. 14
如图,点F、C在线段BE上,且∠1=∠2,BC=EF,若要使△ABC≌△DEF,则还需补充一个条件________,依据是________.
如图,在四边形ABCD中,∠BAD=∠B=∠C=90,AD=BC=20,AB=DC=16.将四边形ABCD沿直线AE折叠,使点D落在BC边上的点F处.
(1)求BF的长;
(2)求CE的长.
解方程:
如图,AD是△ABC的角平分线,且AB:AC=3:2,则△ABD与△ACD的面积之比为( )
A. 3:2 B. 4:6 C. 9:4 D. 不能确定
某公司经销一种绿茶,每千克成本为50元.市场调查发现,在一段时间内,销售量w(千克)随销售单价x(元/千克)的变化而变化,具体关系式为:w=﹣2x+240.设这种绿茶在这段时间内的销售利润为y(元),解答下列问题:
(1)求y与x的关系式;
(2)当x取何值时,y的值最大?
(3)如果物价部门规定这种绿茶的销售单价不得高于90元/千克,公司想要在这段时间内获得2250元的销售利润,销售单价应定为多少元?
如图,在Rt△ABC中,∠ACB=90,CD⊥AB,垂足为D,若AC=,BC=2.则sin∠ACD的值为( )
A. B. C. D.
如图,将函数的图象沿轴向上平移得到一条新函数的图象,其中点, 平移后的对应点分别为点、.若曲线段扫过的面积为(图中的阴影部分),则新图象的函数表达式是__________.