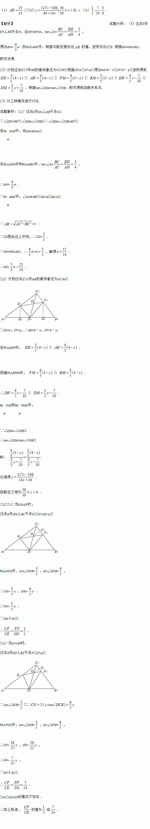
题目内容

如图,在Rt△ABC中,∠ACB=90°,AC=4,BC=3,CD是斜边上中线,点E在边AC上,点F在边BC上,且∠EDA=∠FDB,联结EF、DC交于点G.

(1)当∠EDF=90°时,求AE的长;

(2)CE = x,CF = y,求y关于x的函数关系式,并指出x的取值范围;

(3)如果△CFG是等腰三角形,求CF与CE的比值.

(1);(2);(3). 【解析】试题分析: 过点E作EH⊥AB于点H,设DH=EH=a,tan∠A=, 得出AH= .在Rt△ABC中,根据勾股定理求出的值,进而求出.根据AH+HD=AD, 即可求得. 分别过点E、F作AB的垂线垂足为H、M,根据CE=x,CF=y,得出AE=4x,CF=3y.进而得到, . , . , .根据tan∠EDA=tan∠FDB.即可得到函数...
练习册系列答案
相关题目

违法和不良信息举报电话:027-86699610 举报邮箱:58377363@163.com

精英家教网