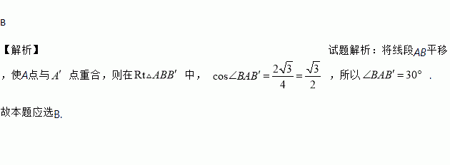
题目内容
如图所示,一条线段AB在平面Q内的正投影为A′B′,AB=4m,A′B′=2
,则AB与A′B′的夹角为( )
![]()
A. 45° B. 30° C. 60° D. 以上都不对
B 【解析】试题解析:将线段AB平移,使A点与 点重合,则在 中, ,所以 . 故本题应选B.
练习册系列答案
相关题目
题目内容
如图所示,一条线段AB在平面Q内的正投影为A′B′,AB=4m,A′B′=2
,则AB与A′B′的夹角为( )
![]()
A. 45° B. 30° C. 60° D. 以上都不对
B 【解析】试题解析:将线段AB平移,使A点与 点重合,则在 中, ,所以 . 故本题应选B.