题目内容
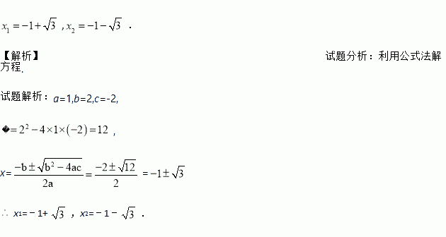
解方程:x2+2x﹣2=0.
若点P(x,y)的坐标满足xy=0(x≠y),则点P在______________
已知一次函数y=(2m+2)x+2+m,y随x增大而减小,且其图像与y轴交点在x轴上方,求m的取值范围。
按如图所示的程序计算,若开始输入的n值为,则最后输出的结果是( )
A. 14 B. 16 C. 8+5 D. 14+
黄金分割具有严格的比例性、艺术性、和谐性,蕴藏着丰富的美学价值。黄金分割是指将整体一分为二,较大部分与整体部分的比值等于较小部分与较大部分的比值,其比值约为0.618。这个比值,被称为黄金分割数。我国著名数学家华罗庚普及并做出重要贡献的优选法中有一种0.618法也应用了黄金分割数。
定义:点C在线段AB上,若满足AC2=BC•AB,则称点C为线段AB的黄金分割点(如图1).
如图2,△ABC中,AB=AC=1,∠A=36°,BD平分∠ABC交AC于点D.
(1)求证:点D是线段AC的黄金分割点;
(2)求出线段AD的长.
如果一个正多边形的中心角为72°,那么这个正多边形的边数是 .
一元二次方程X2+X-2=0的根的情况是( )
A. 有两个不相等的实数根 B. 有两个相等的实数根
C. 只有一个实数根 D. 没有实数根
若单项式2x2m﹣3y与﹣8x3yn﹣1是同类项,则m=_____;n=_____.
张华在一次数学活动中,利用“在面积一定的矩形中,正方形的周长最短”的结论,推导出“式子的最小值是”.其推导方法如下:在面积是的矩形中设矩形的一边长为,则另一边长是,矩形的周长是;当矩形成为正方形时,就有,解得,这时矩形的周长最小,因此的最小值是.模仿张华的推导,你求得式子的最小值是( ).
A. B. C. D.