题目内容
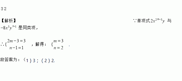
若单项式2x2m﹣3y与﹣8x3yn﹣1是同类项,则m=_____;n=_____.
如图,下列能判定AB∥EF的条件有( ).
① ②
③ ④
A. 1个 B. 2个 C. 3个 D. 4个
解方程:x2+2x﹣2=0.
如图所示,在数轴上A点表示数a,B点表示数b,且a、b满足|2a+6|+|b﹣9|=0
(1)点A表示的数为 ,点B表示的数为 ;
(2)若点A与点C之间的距离表示为AC,点B与点C之间的距离表示为BC,请在点A、点B之间的数轴上找一点C,使BC=2AC,则C点表示的数为 ;
(3)在(2)的条件下,若一动点P从点A出发,以3个单位长度/秒速度由A向B运动;同一时刻,另一动点Q从点C出发,以1个单位长度/秒速度由C向B运动,终点都为B点.当一点到达终点时,这点就停止运动,而另一点则继续运动,直至两点都到达终点时才结束整个运动过程.设点Q运动时间为t秒.
请用含t的代数式表示:点P到点A的距离PA= ,点Q到点B的距离QB= ;点P与点Q之间的距离 PQ= .
化简下列各式:
(1)2a2b﹣3ab﹣14a2b+4ab (2)5(x+y)﹣4(3x﹣2y)+3(2x﹣y)
某小朋友用手指按如图所示的规则练习数数,数到2017时对应的手指是( )(各手指对应依次为大拇指、食指、中指、无名指、小拇指)
A. 大拇指 B. 食指 C. 中指 D. 无名指
下列各式最符合代数式书写规范的是( )
A. B. C. 3x﹣1个 D. a×3
如图, , , 于, 于.
求证: .
证明:在和中,
∴≌( ).
∴____________________( ).
∴是的角平分线.
又∵于, 于,
∴( ).
用不等式表示:
(1)a与5的和是非负数;
(2)a与2的差是负数;
(3)b的10倍不大于27.