题目内容
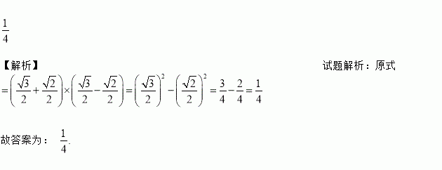
(cos 30°+sin 45°)(sin 60°-cos 45°)=____.
在北京2008年第29届奥运会前夕,某超市在销售中发现:奥运会吉祥物— “福娃”平均每天可售出20套,每件盈利40元。为了迎接奥运会,商场决定采取适当的降价措施,扩大销售量,增加盈利,尽快减少库存。经市场调查发现:如果每套降价4元,那么平均每天就可多售出8套。要想平均每天在销售吉祥物上盈利1200元,那么每套应降价多少?
若与可以合并,则a+b=________.
阅读材料:
关于三角函数还有如下的公式:
sin(α±β)=sin αcos β±cos αsin β
tan(α±β)=
利用这些公式可以将一些不是特殊角的三角函数转化为特殊角的三角函数来求值.
例:tan 15°=tan(45°-30°)= =2-.
根据以上阅读材料,请选择适当的公式解答下面问题:
(1)计算sin 15°的值.
(2)乌蒙铁塔是六盘水市标志性建筑物之一,小华想用所学的知识来测量该铁塔的高度.如图,小华站在离铁塔底A距离7 m的C处,测得铁塔顶B的仰角为75°,小华的眼睛离地面的距离DC为1.62 m,请帮助小华求出乌蒙铁塔的高度.(结果精确到0.1 m.参考数据: ≈1.732, ≈1.414)
若点P(1,a),Q(-1,b)都在抛物线y=-x2+1上,则线段PQ的长为_____.
要将抛物线y=x2+2x+3平移后得到抛物线y=x2,下列平移方法正确的是( )
A. 向左平移1个单位长度,再向上平移2个单位长度
B. 向左平移1个单位长度,再向下平移2个单位长度
C. 向右平移1个单位长度,再向上平移2个单位长度
D. 向右平移1个单位长度,再向下平移2个单位长度
如图,已知射线CB∥OA,∠C=∠OAB=100°,点E,F在CB上,且满足∠FOB=∠AOB,OE平分∠COF.
(1)求∠EOB的度数;
(2)若向右平移AB,其他条件都不变,那么∠OBC∶∠OFC的值是否随之变化?若变化,找出变化规律;若不变,求出这个比值.
不等式组的解集在数轴上表示正确的是( )
A. B.
C. D.
如图,OA的方向是北偏东15°,OB的方向是北偏西40°,若∠AOC=∠AOB,则OC的方向是__