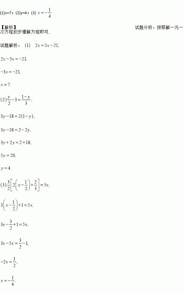
题目内容
解方程:
(1)
(2)
(3)
一次函数y=kx+b中,y随x的增大而减小,且kb>0,则这个函数的图象必定经过第_____象限.
已知:A=2a2+3ab-2a-1,B=-a2+ab+1.
(1)当a=-1,b=2时,求4A-(3A-2B)的值;
(2)若(1)中的代数式的值与a的取值无关,求b的值.
在式子﹣5x2y,2m+n,0, ,﹣, 中,是单项式的有( )
A. 5个 B. 4个 C. 3个 D. 2个
已知关于的方程的解比方程的解大3,求的值.
已知,则代数的值为_____.
下列方程的变形中正确的是( )
A. 由得 B. 由得
C. 由得 D. 由得
若﹣2xmy2与3x4yn是同类项,则m﹣3n=_____.
2008年6月1日北京奥运圣火在宜昌传递,圣火传递路线分为两段,其中在市区的传递路程为700(a-1)米,三峡坝区的传递路程为(881a+2309)米.设圣火在宜昌的传递总路程为s米.
(1)用含a的代数式表示s;
(2)已知a=11,求s的值.