题目内容
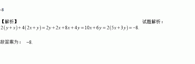
已知,则代数的值为_____.
下列各图形中,是中心对称图形但不一定是轴对称图形的图形是( )
A. 平行四边形 B. 菱形 C. 正方形 D. 等腰梯形
如图,是一个简单的数值计算程序,当输入的x的值为5,则输出的结果为__________.
已知:无论取何值,多项式: 的值不变.请回答问题:
(1)请直接写出a、b、c的值: = , = , = ;
(2)数轴上三个数所对应的点分别为A、B、C,点A、B、C同时开始在数轴上运动,若点A以每秒1个单位长度的速度向左运动,同时,点B和点C分别以每秒3个单位长度和4个单位长度的速度向右运动,假设秒钟过后,若点B与点C之间的距离表示为BC,点A与点B之间的距离表示为AB,点A与点C之间的距离表示为AC.
①秒钟过后,BC的长度为 (用含的关系式表示);
②请问:4AC﹣5AB的值是否随着时间的变化而改变?若变化,请说明理由;若不变,请求其值.
解方程:
(1)
(2)
(3)
比较大小: _______;
(本题5分)某服装店老板以60元的单价购进20件流行款的女服装,老板交代销售小姐以80元为标准价出售.针对不同的顾客,销售小姐对20件服装的售价不完全相同,她把超过80元的记为正数,其销售结果如下表所示:
该服装店在售完这20件服装后,请你通过计算说明该服装店老板是赚钱还是亏本?如果赚钱,那么赚了多少钱?如果亏本,那么亏了多少钱?
有一个关于x的二次三项式,它的二次项系数为3,一次项系数和常数项都是﹣1,试写出这个多项式_____.
已知甲、乙两种糖果的单价分别是元/千克和12元/千克.为了使甲、乙两种糖果分别销售与把它们混合成什锦糖后再销售的收入保持不变,则由20千克甲种糖果和千克乙种糖果混合而成的什锦糖的单价应是______元/千克.