题目内容
计算:
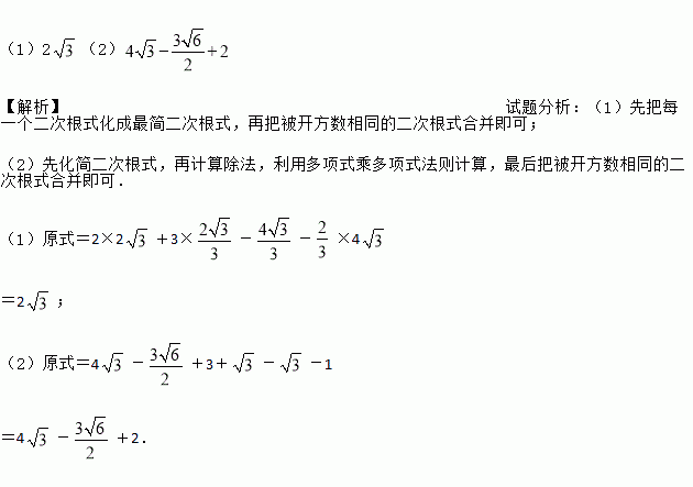
(1)2+3--;
(2) -÷2+(3-)(1+).
如图是两个全等三角形,图中的字母表示三角形的边长,那么根据图中提供的信息可知的度数为__________.
已知是关于的一元一次方程,求出下面代数式的值:
.
关于的方程3+5=0与3+3=1的解相同,则等于( )
A. -2 B. C. 2 D. -
已知:如图,在菱形ABCD中,点E,O,F分别为AB,AC,AD的中点,连接CE,CF,OE,OF.
(1)求证:△BCE≌△DCF;
(2)当AB与BC满足什么关系时,四边形AEOF是正方形?请说明理由.
(2017上海第14题)某企业今年第一季度各月份产值占这个季度总产值的百分比如图所示,又知二月份产值是72万元,那么该企业第一季度月产值的平均数是__万元.
如图,矩形ABCD的边BC在x轴上,点A在第二象限,点D在第一象限,AB=2,OD=4,将矩形ABCD绕点O旋转,使点D落在x轴上,则点C对应点的坐标是
A. (–,1) B. (–1,) C. (–1,)或(1,–) D. (–,1)或(1,–)
方程x2 = 3x的解是_______________.
已知:线段AB = 2,点D是线段AB的中点,延长线段AB到C,BC = 2AD.求线段DC的长.