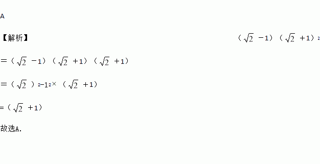
题目内容
计算(-1)(+1)2的结果是( )
A. +1 B. 3(-1) C. 1 D. -1
如图,已知A(3,0),B(0,-1),连接AB,过B点作AB的垂线段,使BA=BC,连接AC.
(1)如图1,求C点坐标;
(2)如图2,若P点从A点出发,沿x轴向左平移,连接BP,作等腰直角三角形△BPQ,连接CQ.求证:PA=CQ.
(3)在(2)的条件下,若C、P、Q三点共线,求此时P点坐标及∠APB的度数.
经过某十字路口的汽车,它可以继续直行,也可以向左转或向右转.如果这三种可能性大小相同,则两辆汽车经过这个十字路口全部继续直行的概率是( )
A. B. C. D.
如图,已知在Rt△ABC中,∠ACB=90°,AB=4,分别以AC,BC为直径作半圆,面积分别记为S1,S2,则S1+S2等于____________.
如图,在平行四边形ABCD中,用直尺和圆规作∠BAD的平分线AG交BC于点E,若BF=12,AB=10,则AE的长为( )
A.16 B.15 C.14 D.13
在Rt△ABC中,∠C=90°,AB=5,BC=3,以AC所在的直线为轴旋转一周,所得圆锥的表面积为( )
A. B. C. D.
若点(-5,y1)、(-3,y2)、(3,y3)都在反比例函数y= -的图像上,则( )
A. y1>y2>y3 B. y2>y1>y3
C. y3>y1>y2 D. y1>y3>y2
12am﹣1b3与是同类项,则m+n=__________.
如图,数轴上A,B两点对应的有理数分别为10和15,点P从点A出发,以每秒1个单位长度的速度沿数轴正方向运动,点Q同时从原点O出发,以每秒2个单位长度的速度沿数轴正方向运动,设运动时间为t秒.
(1)当0<t<5时,用含t的式子填空:
BP=_______,AQ=_______;
(2)当t=2时,求PQ的值;
(3)当PQ=AB时,求t的值.